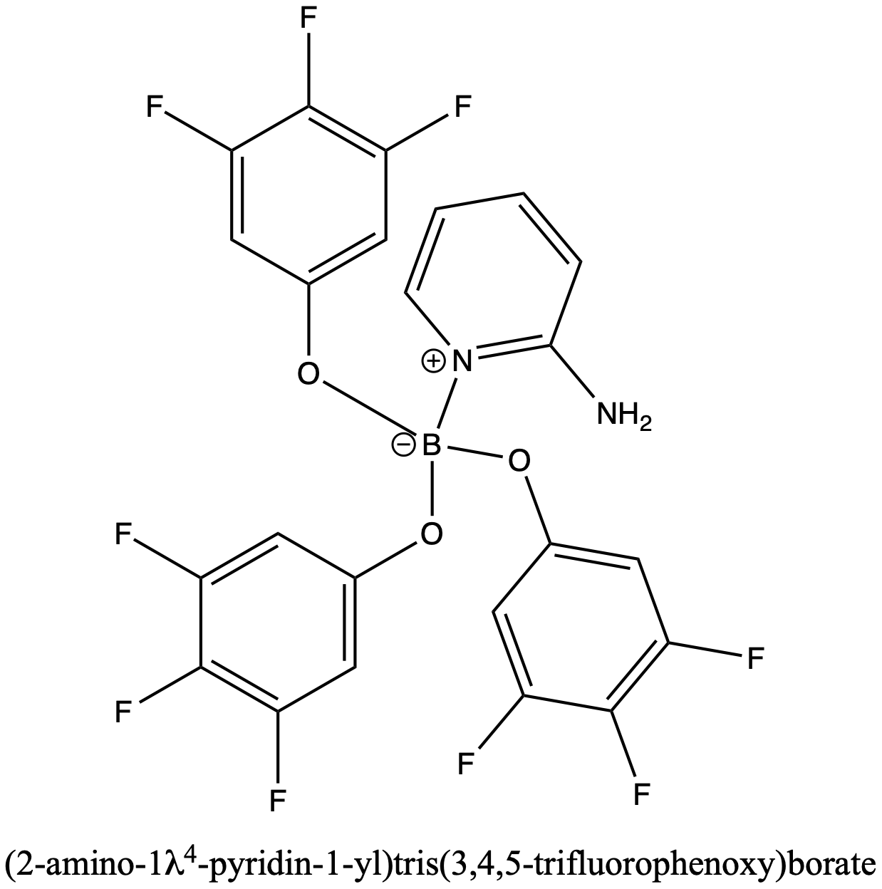
NMR Data for compound 38j. (2-amino-1λ4-pyridin-1-yl)tris(3,4,5-trifluorophenoxy)borate. 11B
DOI: 10.14469/hpc/14974 Metadata
Created: 2025-02-12 13:03
Last modified: 2025-02-12 14:00
License: Creative Commons: Public Domain Dedication 1.0
Funding: (none given)
Description
Primary spectrometer NMR Data
Files
| Filename | Size | Type | Description |
|---|---|---|---|
| 38j-B.zip | 942KB | application/zip | Bruker archive |
| 38j-B.mnpub | 0 | chemical/x-mnpub | Mestrenova signature file for 38j-B.zip |
| 38j-B.mnova | 559KB | chemical/x-mnova | Mnova archive |
| 38j-B.mnpub | 0 | chemical/x-mnpub | Mestrenova signature file for 38j-B.mnova |
| 38j-B.jdx | 200KB | chemical/x-jcamp-dx | jCAMP-DX spectrum |
| 38j-B.pdf | 21KB | application/pdf | PDF Spectrum |
| 38j.cdxml | 12KB | chemical/x-cdxml | Chemdraw connection table |
| 38j.mol | 4KB | chemical/x-mdl-molfile | MDL Molfilec connection table |
| 38j.png | 128KB | image/png | Image structure representation |
Member of collection / collaboration
| DOI | Description |
|---|---|
| 10.14469/hpc/14972 | NMR Data for compound 38j. (2-amino-1λ4-pyridin-1-yl)tris(3,4,5-trifluorophenoxy)borate in tBuOAc |
Subject Keywords
| Keyword | Value |
|---|---|
| inchi | InChI=1S/C23H12BF9N2O3/c25-14-5-11(6-15(26)21(14)31)36-24(35-4-2-1-3-20(35)34,37-12-7-16(27)22(32)17(28)8-12)38-13-9-18(29)23(33)19(30)10-13/h1-10H,34H2/q-1 |
| inchikey | YSCVCBDJIBHNLP-UHFFFAOYSA-N |
| NMR_Expt | 1D |
| NMR_Nucleus | 11B |
| NMR_Solvent | tBuOAc |