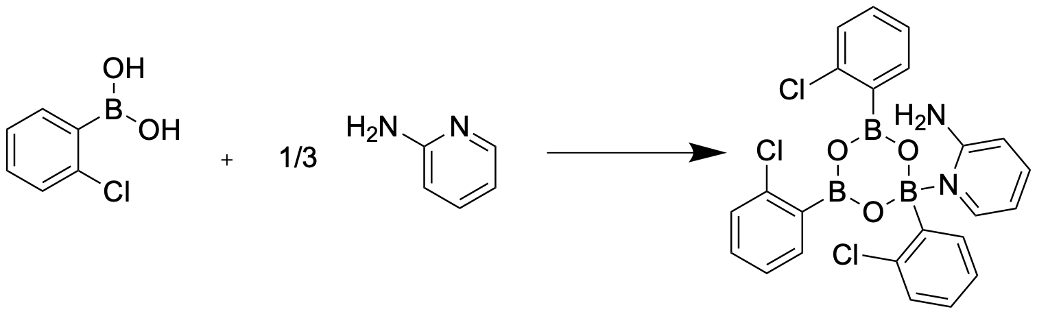
NMR Data for 38c. 2-chlorophenylboronic acid + 2-aminopyridine. 1H
DOI: 10.14469/hpc/14868 Metadata
Created: 2024-11-11 13:44
Last modified: 2025-02-08 16:58
License: Creative Commons: Public Domain Dedication 1.0
Funding: (none given)
Description
Raw spectrometer NMR Data
Files
| Filename | Size | Type | Description |
|---|---|---|---|
| boronic acid + amino pyridine-H.zip | 504KB | application/zip | Bruker archive |
| boronic acid + amino pyridine-H.mnpub | 0 | chemical/x-mnpub | Mestrenova signature file for boronic acid + amino pyridine-H.zip |
| boronic acid + amino pyridine-H.mnova | 364KB | chemical/x-mnova | Mnova archive |
| boronic acid + amino pyridine-H.mnpub | 0 | chemical/x-mnpub | Mestrenova signature file for boronic acid + amino pyridine-H.mnova |
| boronic acid + amino pyridine-H.jdx | 138KB | chemical/x-jcamp-dx | JCAMP-DX spectrum |
| boronic acid + amino pyridine-H.pdf | 64KB | application/pdf | PDF Spectrum |
| boronic acid + amino pyridine cd.png | 67KB | image/png | Image structure representation |
| boronic acid + amino pyridine cd.cdxml | 15KB | chemical/x-cdxml | Chemdraw structure representation |
| boronic acid + amino pyridine cd.mol | 5KB | chemical/x-mdl-molfile | MDL Molfile structure representation |
Member of collection / collaboration
| DOI | Description |
|---|---|
| 10.14469/hpc/14847 | NMR Data for compound 38c. 2-chlorophenylboronic acid + 2-aminopyridine |
Subject Keywords
| Keyword | Value |
|---|---|
| inchi | InChI=1S/C22H20B3Cl3N2O3/c1-3-17(16(2)26)23-31-24(18-10-4-6-12-20(18)27)33-25(32-23,19-11-5-7-13-21(19)28)30-15-9-8-14-22(30)29/h3-15H,2,29H2,1H3/b17-3+ |
| inchikey | XVERRFABOLUYPR-IJUHEHPCSA-N |
| NMR_Expt | 1D |
| NMR_Nucleus | 1H |
| NMR_Solvent | CDCl3 |