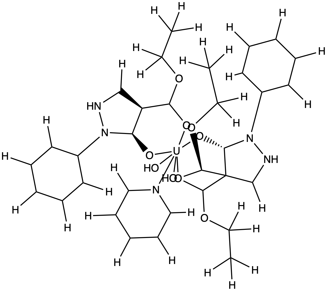
Crystal data for compound 74.
DOI: 10.14469/hpc/12402 Metadata
Created: 2023-03-20 11:28
Last modified: 2024-11-22 09:39
License: Creative Commons: Public Domain Dedication 1.0
Funding: (none given)
Description
Full crystal image data for Compound 74.
Files
| Filename | Size | Type | Description |
|---|---|---|---|
| LBTML2.cif | 566KB | chemical/x-cif | CIF file |
| LBTML2.7z.001 | 900MB | application/octet-stream | Primary image data as g7zip archive |
| LBTML2.7z.002 | 655MB | application/octet-stream | Primary image data as g7zip archive |
| LBTML2.zip.001 | 900MB | application/octet-stream | Primary image data as zip archive |
| LBTML2.zip.002 | 667MB | application/octet-stream | Primary image data as zip archive |
| 74.cdxml | 13KB | chemical/x-cdxml | Chemdraw connection table |
| 74.png | 154KB | image/png | Image representation |
Member of collection / collaboration
| DOI | Description |
|---|---|
| 10.14469/hpc/11748 | Compound 74: Bis(4-(ethoxycarbonyl)-1-phenyl-1H-pyrazol-5-olate)dioxouranium |
Associated DOIs
| Current dataset ... | DOI | Description |
|---|---|---|
| References | 10.5517/ccdc.csd.cc2fj9s2 | CSD Entry: VIPFAF |
| isReferencedBy | 10.5517/ccdc.csd.cc2fj9s2 | CSD Entry: VIPFAF |
Subject Keywords
| Keyword | Value |
|---|---|
| IFD.XRAY | Crystal structure |
| inchi | InChI=1S/2C12H12N2O3.2O.U/c2*1-2-17-12(16)10-8-13-14(11(10)15)9-6-4-3-5-7-9;;;/h2*3-8,15H,2H2,1H3;;;/q;;;;+2/p-2 |
| inchikey | OIDLIYWHLSQPCJ-UHFFFAOYSA-L |
| SMILES | O=[U+2]=O.[O-]C1=C(C(OCC)=O)C=NN1C2=CC=CC=C2.[O-]C3=C(C(OCC)=O)C=NN3C4=CC=CC=C4 |