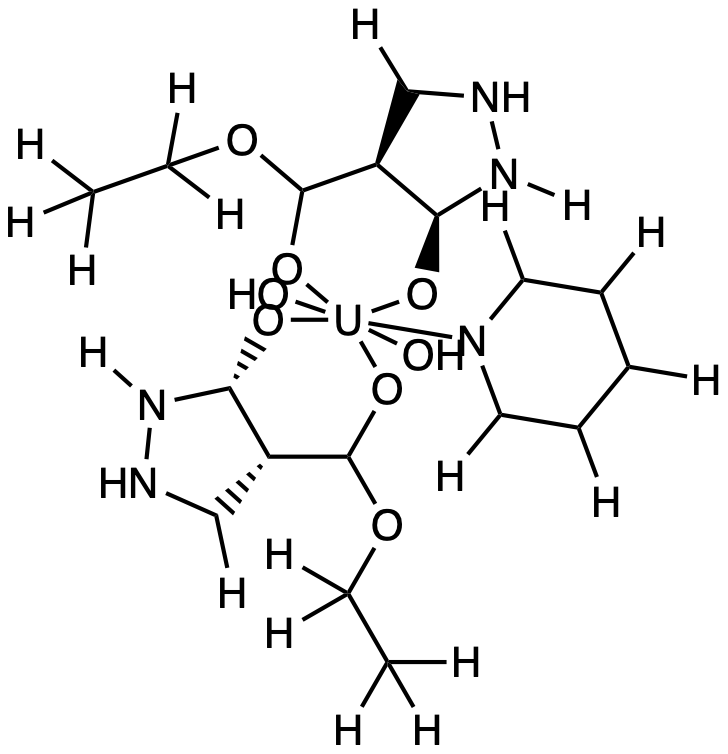
Primary crystal structure data for Compound 76.
DOI: 10.14469/hpc/12308 Metadata
Created: 2023-02-24 10:44
Last modified: 2024-11-22 09:36
License: Creative Commons: Public Domain Dedication 1.0
Funding: (none given)
Description
Full X-ray data for compound 76.
Files
| Filename | Size | Type | Description |
|---|---|---|---|
| LB-UO2L4.7z.001 | 900MB | application/octet-stream | 7-ZIP archive |
| LB-UO2L4.7z.002 | 414MB | application/octet-stream | 7-ZIP archive |
| LB-UO2L4.zip.001 | 900MB | application/octet-stream | ZIP archive |
| LB-UO2L4.zip.002 | 415MB | application/octet-stream | ZIP archive |
| LB-UO2L4.cif | 344KB | chemical/x-cif | CIF data |
| LB-UO2L4.cif | 344KB | chemical/x-cif | CIF data |
| 76.cdxml | 10KB | chemical/x-cdxml | Chemdraw connection table |
| 76.png | 64KB | image/png | Image representation |
Member of collection / collaboration
| DOI | Description |
|---|---|
| 10.14469/hpc/12307 | Compound 76: Bis((4-(ethoxycarbonyl)-1H-pyrazol-5-yl)oxy)dioxouranium |
Associated DOIs
| Current dataset ... | DOI | Description |
|---|---|---|
| References | 10.5517/ccdc.csd.cc2dm8bn | CSD Entry: VIPCAC |
| isReferencedBy | 10.5517/ccdc.csd.cc2dm8bn | CSD Entry: VIPCAC |
Subject Keywords
| Keyword | Value |
|---|---|
| IFD.XRAY | Crystal structure |
| inchi | InChI=1S/2C6H8N2O3.2O.U/c2*1-2-11-6(10)4-3-7-8-5(4)9;;;/h2*3H,2H2,1H3,(H2,7,8,9);;;/q;;;;+2/p-2 |
| inchikey | RKKFXJXCYLWAMJ-UHFFFAOYSA-L |
| SMILES | O=[U](OC1=C(C(OCC)=O)C=NN1)(OC2=C(C(OCC)=O)C=NN2)=O |