This service is now deprecated. It is strongly suggested that new data deposits are made in the successor service Helix.

Crystal structure data for Compound 73

DOI: 10.14469/hpc/12306 Metadata

Created: 2023-02-24 10:12

Last modified: 2024-11-22 09:39

Author: Henry Rzepa

License: Creative Commons: Public Domain Dedication 1.0

Funding: (none given)

Description

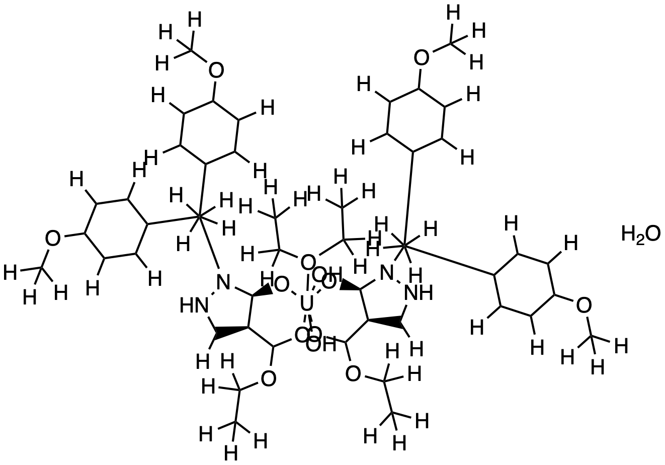
Full crystal structure data for 73

Files

FilenameSizeTypeDescription
AB2301.cif 408KB chemical/x-cif CIF Crystal structure data
73.cdxml 19KB chemical/x-cdxml Chemdraw connection table
73.png 125KB image/png Image representation

Member of collection / collaboration

DOIDescription
10.14469/hpc/11747 Compound 73: Bis(4-(ethoxycarbonyl)-1-(4-methoxybenzyl)-1H-pyrazol-5-olate)dioxouranium

Subject Keywords

KeywordValue
IFD.XRAY Crystal structure
inchi InChI=1S/3C18H16N2O3.La/c3*1-23-15-9-7-13(8-10-15)12-20-18(22)16(11-19-20)17(21)14-5-3-2-4-6-14;/h3*2-11,22H,12H2,1H3;/q;;;+3/p-3
inchikey PJRHEQYLJOBDEB-UHFFFAOYSA-K

Edit