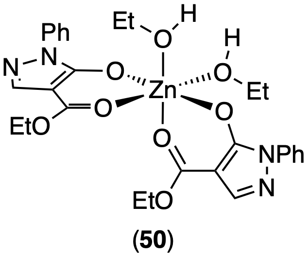
NMR Data for Bis(ethanol) bis((4-(ethoxycarbonyl)-1-phenyl-1H-pyrazol-5-yl)oxy)zinc (50), 13C
DOI: 10.14469/hpc/11665 Metadata
Created: 2022-10-28 11:42
Last modified: 2024-05-28 15:00
License: Creative Commons: Public Domain Dedication 1.0
Funding: (none given)
Description
Primary NMR Data for Sample 50
Files
| Filename | Size | Type | Description |
|---|---|---|---|
| 50-13C.zip | 375KB | application/zip | Bruker primary data archive |
| 50-13C.mnpub | 0 | chemical/x-mnpub | Mestrenova signature file for 50-13C.zip |
| 50-13C.mnova | 266KB | chemical/x-mnova | Mnova data archive |
| 50-13C.mnpub | 0 | chemical/x-mnpub | Mestrenova signature file for 50-13C.mnova |
| 50-13C.jdx | 175KB | chemical/x-jcamp-dx | JCAMP-DX Spectrum |
| 50-13C.pdf | 75KB | application/pdf | Spectrum as PDF |
| 50.png | 30KB | image/png | Image structural representation |
| 50.cdxml | 14KB | chemical/x-cdxml | Chemdraw connection table |
| 50.mol | 5KB | chemical/x-mdl-molfile | MDL Molfile |
| 50.cdxml | 17KB | chemical/x-cdxml | Chemdraw connection table, V2 |
| 50.png | 45KB | image/png | Image structural representation, V2 |
| 50.mol | 5KB | chemical/x-mdl-molfile | MDL Molfile, V2 |
| 50.cdxml | 16KB | chemical/x-cdxml | Chemdraw connection table, V3 |
| 50.png | 44KB | image/png | Image structural representation, V3 |
| 50.mol | 3KB | chemical/x-mdl-molfile | MDL Molfile, V3 |
Member of collection / collaboration
| DOI | Description |
|---|---|
| 10.14469/hpc/11658 | NMR Data for Compound 50. |
Subject Keywords
| Keyword | Value |
|---|---|
| inchi | InChI=1S/2C12H12N2O3.2C2H6O.Zn/c2*1-2-17-12(16)10-8-13-14(11(10)15)9-6-4-3-5-7-9;2*1-2-3;/h2*3-8,15H,2H2,1H3;2*3H,2H2,1H3;/q;;;;+2/p-2 |
| inchikey | MDBZJJKKHIMUBW-UHFFFAOYSA-L |
| NMR_Expt | 1D |
| NMR_Nucleus | 13C |
| SMILES | [H]O(CC)[Zn]12(OC3=C(C(OCC)=O1)C=NN3C4=CC=CC=C4)(OC5=C(C(OCC)=O2)C=NN5C6=CC=CC=C6)O([H])CC |