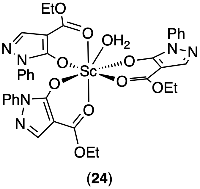
NMR data for Tris((4-(ethoxycarbonyl)-1-phenyl-1H-pyrazol-5-yl)oxy)scandium (24), 1H, 13C, HMBC
DOI: 10.14469/hpc/11607 Metadata
Created: 2022-10-26 19:59
Last modified: 2024-06-03 10:00
License: Creative Commons: Public Domain Dedication 1.0
Funding: (none given)
Description
Primary NMR Data for Sample 24.
Files
| Filename | Size | Type | Description |
|---|---|---|---|
| 24-hmbc.zip | 2MB | application/zip | Bruker primary data archive |
| 24-hmbc.mnpub | 0 | chemical/x-mnpub | Mestrenova signature file for 24-hmbc.zip |
| 24-hmbc.mnova | 1MB | chemical/x-mnova | Mnova data archive |
| 24-hmbc.mnpub | 0 | chemical/x-mnpub | Mestrenova signature file for 24-hmbc.mnova |
| 24-hmbc.jdx | 754KB | chemical/x-jcamp-dx | JCAMP-DX spectrum |
| 24-hmbc.pdf | 27KB | application/pdf | Spectrum as PDF |
| 24.cdxml | 19KB | chemical/x-cdxml | Chemdraw connection table |
| 24.png | 36KB | image/png | image structure representation |
| 24.mol | 5KB | chemical/x-mdl-molfile | MDL Molfile |
| 24.cdxml | 25KB | chemical/x-cdxml | Chemdraw connection table, V2 |
| 24.mol | 6KB | chemical/x-mdl-molfile | MDL Molfile, V2 |
| 24.png | 58KB | image/png | image structure representation, V2 |
| 24.cdxml | 23KB | chemical/x-cdxml | Chemdraw connection table, V3 |
| 24.png | 43KB | image/png | image structure representation, V3 |
| 24.mol | 6KB | chemical/x-mdl-molfile | MDL Molfile, V3 |
Member of collection / collaboration
| DOI | Description |
|---|---|
| 10.14469/hpc/11601 | NMR Data for Compound 24. |
Subject Keywords
| Keyword | Value |
|---|---|
| inchikey | QISDDLSNMZDAKJ-UHFFFAOYSA-K |
| NMR_Expt | HMBC |
| NMR_Nucleus1 | 1H |
| NMR_Nucleus2 | 13C |
| SMILES | [OH2][Sc]123(OC4=C(C(OCC)=O1)C=NN4C5=CC=CC=C5)(OC6=C(C(OCC)=O2)C=NN6C7=CC=CC=C7)O=C(OCC)C8=C(O3)N(C9=CC=CC=C9)N=C8 |