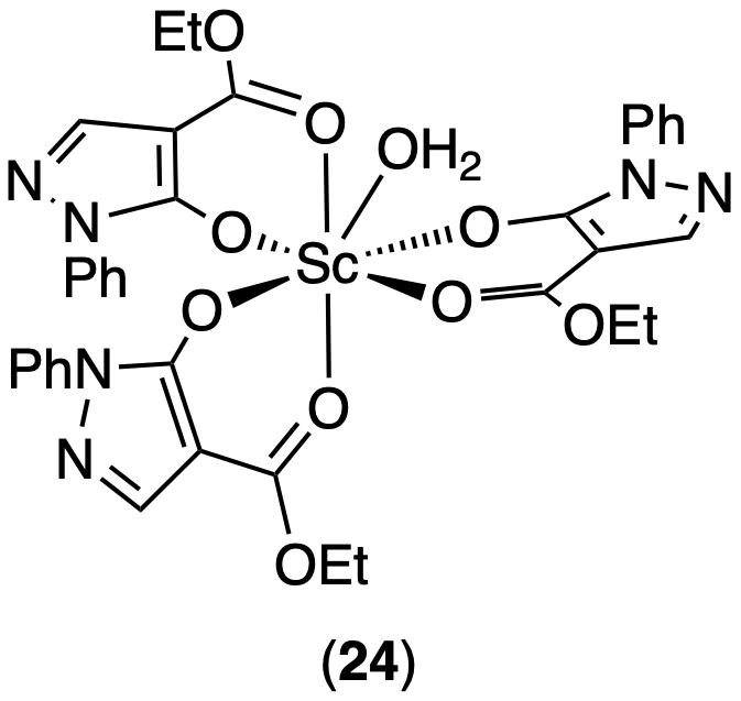
NMR data for Tris((4-(ethoxycarbonyl)-1-phenyl-1H-pyrazol-5-yl)oxy)scandium (24), 13C
DOI: 10.14469/hpc/11604 Metadata
Created: 2022-10-26 19:50
Last modified: 2024-06-03 10:00
License: Creative Commons: Public Domain Dedication 1.0
Funding: (none given)
Description
Primary NMR data for Sample 24.
Files
| Filename | Size | Type | Description |
|---|---|---|---|
| 24-13C.zip | 374KB | application/zip | Bruker primary data archive |
| 24-13C.mnpub | 0 | chemical/x-mnpub | Mestrenova signature file for 24-13C.zip |
| 24-13C.mnova | 235KB | chemical/x-mnova | Mnova data archive |
| 24-13C.mnpub | 0 | chemical/x-mnpub | Mestrenova signature file for 24-13C.mnova |
| 24-13C.jdx | 174KB | chemical/x-jcamp-dx | JCAMP-DX spectrum |
| 24-13C.pdf | 76KB | application/pdf | Spectrum as PDF |
| 24.png | 36KB | image/png | Image structure representation |
| 24.cdxml | 19KB | chemical/x-cdxml | Chemdraw connection table |
| 24.mol | 5KB | chemical/x-mdl-molfile | MDL molfile |
| 24.cdxml | 25KB | chemical/x-cdxml | Chemdraw connection table, V2 |
| 24.mol | 6KB | chemical/x-mdl-molfile | MDL molfile, V2 |
| 24.png | 58KB | image/png | Image structure representation |
| 24.cdxml | 23KB | chemical/x-cdxml | Chemdraw connection table, V3 |
| 24.png | 43KB | image/png | Image structure representation v2 |
| 24.mol | 6KB | chemical/x-mdl-molfile | MDL molfile, V3 |
Member of collection / collaboration
| DOI | Description |
|---|---|
| 10.14469/hpc/11601 | NMR Data for Compound 24. |
Subject Keywords
| Keyword | Value |
|---|---|
| inchi | InChI=1S/3C12H12N2O3.H2O.Sc/c3*1-2-17-12(16)10-8-13-14(11(10)15)9-6-4-3-5-7-9;;/h3*3-8,15H,2H2,1H3;1H2;/q;;;;+3/p-3 |
| inchikey | QISDDLSNMZDAKJ-UHFFFAOYSA-K |
| NMR_Expt | 1D |
| NMR_Nucleus | 13C |
| SMILES | [OH2][Sc]123(OC4=C(C(OCC)=O1)C=NN4C5=CC=CC=C5)(OC6=C(C(OCC)=O2)C=NN6C7=CC=CC=C7)O=C(OCC)C8=C(O3)N(C9=CC=CC=C9)N=C8 |