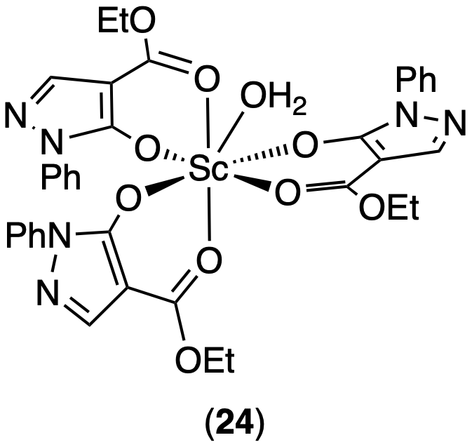
IR Data for Compound 24.
DOI: 10.14469/hpc/11602 Metadata
Created: 2022-10-26 17:14
Last modified: 2024-06-03 10:00
License: Creative Commons: Public Domain Dedication 1.0
Funding: (none given)
Description
IR Data for Tris((4-(ethoxycarbonyl)-1-phenyl-1H-pyrazol-5-yl)oxy)scandium (24)
Files
| Filename | Size | Type | Description |
|---|---|---|---|
| TM-VI-136_2021-10-26T14-17-31.pdf | 61KB | application/pdf | IR Spectrum |
| 24.png | 36KB | image/png | Image structure representation |
| 24.cdxml | 19KB | chemical/x-cdxml | Chemdraw connection table |
| 24.mol | 5KB | chemical/x-mdl-molfile | MDL Molfile |
| 24.cdxml | 25KB | chemical/x-cdxml | Chemdraw connection table, V2 |
| 24.mol | 6KB | chemical/x-mdl-molfile | MDL Molfile, V2 |
| 24.png | 58KB | image/png | Image structure representation, V2 |
| 24.png | 43KB | image/png | Image structure representation, V3 |
| 24.cdxml | 23KB | chemical/x-cdxml | Chemdraw connection table, V3 |
| 24.mol | 6KB | chemical/x-mdl-molfile | MDL Molfile, V3 |
Member of collection / collaboration
| DOI | Description |
|---|---|
| 10.14469/hpc/11358 | Compound 24: Tris((4-(ethoxycarbonyl)-1-phenyl-1H-pyrazol-5-yl)oxy)scandium |
Subject Keywords
| Keyword | Value |
|---|---|
| IFD.IR | IR Spectrum |
| inchi | InChI=1S/3C12H12N2O3.H2O.Sc/c3*1-2-17-12(16)10-8-13-14(11(10)15)9-6-4-3-5-7-9;;/h3*3-8,15H,2H2,1H3;1H2;/q;;;;+3/p-3 |
| inchikey | QISDDLSNMZDAKJ-UHFFFAOYSA-K |
| SMILES | [OH2][Sc]123(OC4=C(C(OCC)=O1)C=NN4C5=CC=CC=C5)(OC6=C(C(OCC)=O2)C=NN6C7=CC=CC=C7)O=C(OCC)C8=C(O3)N(C9=CC=CC=C9)N=C8 |