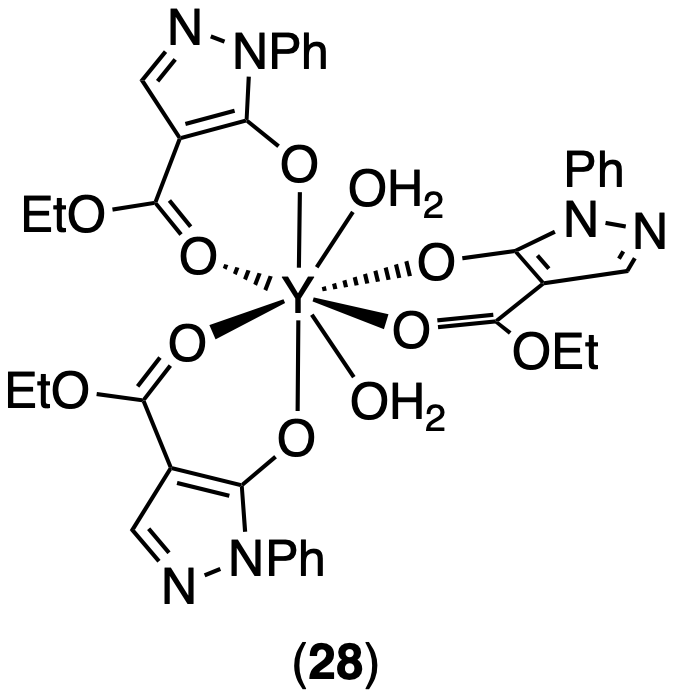
NMR data for Tris((4-(ethoxycarbonyl)-1-phenyl-1H-pyrazol-5-yl)oxy)yttrium (28), 1H, 13C, HSQC
DOI: 10.14469/hpc/11600 Metadata
Created: 2022-10-26 17:10
Last modified: 2024-05-29 07:00
License: Creative Commons: Public Domain Dedication 1.0
Funding: (none given)
Description
Primary NMR Data for Sample 28.
Files
| Filename | Size | Type | Description |
|---|---|---|---|
| 28-hsqc.zip | 7MB | application/zip | Bruker primary data archive |
| 28-hsqc.mnpub | 0 | chemical/x-mnpub | Mestrenova signature file for 28-hsqc.zip |
| 28-hsqc.mnova | 1MB | chemical/x-mnova | Mnova data archive |
| 28-hsqc.mnpub | 0 | chemical/x-mnpub | Mestrenova signature file for 28-hsqc.mnova |
| 28-hsqc.jdx | 770KB | chemical/x-jcamp-dx | JCAMP-DX spectrum |
| 28-hsqc.pdf | 19KB | application/pdf | Spectrum as PDF |
| 28.png | 36KB | image/png | Image structure representation |
| 28.cdxml | 19KB | chemical/x-cdxml | Chemdraw connection table |
| 28.mol | 5KB | chemical/x-mdl-molfile | MDL Molfile |
| 28.cdxml | 24KB | chemical/x-cdxml | Chemdraw connection table, V2 |
| 28.mol | 6KB | chemical/x-mdl-molfile | MDL Molfile, V2 |
| 28.png | 64KB | image/png | Image structure representation, V2 |
| 28.png | 59KB | image/png | Image structure representation, V3 |
| 28.cdxml | 22KB | chemical/x-cdxml | Chemdraw connection table, V3 |
Member of collection / collaboration
| DOI | Description |
|---|---|
| 10.14469/hpc/11594 | NMR Data for Compound 28. |
Subject Keywords
| Keyword | Value |
|---|---|
| inchi | InChI=1S/3C12H12N2O3.2H2O.Y/c3*1-2-17-12(16)10-8-13-14(11(10)15)9-6-4-3-5-7-9;;;/h3*3-8,15H,2H2,1H3;2*1H2;/q;;;;;+3/p-3 |
| inchikey | RRXSKXZPUZQUFG-UHFFFAOYSA-K |
| NMR_Expt | HSQC |
| NMR_Nucleus1 | 1H |
| NMR_Nucleus2 | 13C |
| SMILES | [OH2][Y]123(O=C(OCC)C(C=N4)=C(O2)N4C5=CC=CC=C5)(O=C(OCC)C(C=N6)=C(O3)N6C7=CC=CC=C7)([OH2])O=C(OCC)C(C=N8)=C(O1)N8C9=CC=CC=C9 |