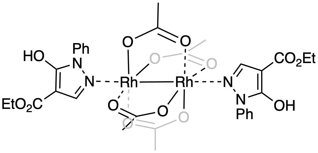
NMR Data for Bis(ethyl 5-hydroxy-1-phenyl-1H-pyrazole-4-carboxylate)tetrakis(acetato)dirhodium (40), 13C
DOI: 10.14469/hpc/11580 Metadata
Created: 2022-10-26 15:09
Last modified: 2024-05-28 17:00
License: Creative Commons: Public Domain Dedication 1.0
Funding: (none given)
Description
Primary NMR Data for Sample 40.
Files
| Filename | Size | Type | Description |
|---|---|---|---|
| 40-13C.zip | 373KB | application/zip | Bruker Primary Data archive |
| 40-13C.mnpub | 0 | chemical/x-mnpub | Mestrenova signature file for 40-13C.zip |
| 40-13C.mnova | 252KB | chemical/x-mnova | Mnova data archive |
| 40-13C.mnpub | 0 | chemical/x-mnpub | Mestrenova signature file for 40-13C.mnova |
| 40-13C.jdx | 167KB | chemical/x-jcamp-dx | JCAMP-DX Spectrum |
| 40-13C.pdf | 75KB | application/pdf | Spectrum as PDF |
| 40.png | 48KB | image/png | Image structure representation |
| 40.cdxml | 16KB | chemical/x-cdxml | Chemdraw connection table |
| 40.mol | 6KB | chemical/x-mdl-molfile | MDL Molfile |
| 40.cdxml | 20KB | chemical/x-cdxml | Chemdraw connection table, V2 |
| 40.mol | 5KB | chemical/x-mdl-molfile | MDL Molfile, V2 |
| 40.png | 99KB | image/png | Image structure representation, V2 |
| 40.png | 62KB | image/png | Image structure representation, V3 |
| 40.cdxml | 19KB | chemical/x-cdxml | Chemdraw connection table, V3 |
Member of collection / collaboration
| DOI | Description |
|---|---|
| 10.14469/hpc/11578 | NMR Data for Compound 40. |
Subject Keywords
| Keyword | Value |
|---|---|
| inchi | InChI=1S/2C12H12N2O3.4C2H4O2.2Rh/c2*1-2-17-12(16)10-8-13-14(11(10)15)9-6-4-3-5-7-9;4*1-2(3)4;;/h2*3-8,15H,2H2,1H3;4*1H3,(H,3,4);;/q;;;;;;2*+2/p-4 |
| inchikey | WGBLMKJHPCVTIH-UHFFFAOYSA-J |
| NMR_Expt | 1D |
| NMR_Nucleus | 13C |
| SMILES | CC1=O[Rh]2(OC(C)=O3)(O=C(O4)C)(N5=CC(C(OCC)=O)=C(O)N5C6=CC=CC=C6)[Rh]34(O=C(O2)C)(N7=CC(C(OCC)=O)=C(O)N7C8=CC=CC=C8)O1 |