IR data for Compound 57.
DOI: 10.14469/hpc/11508 Metadata
Created: 2022-10-24 17:40
Last modified: 2024-05-28 16:00
License: Creative Commons: Public Domain Dedication 1.0
Funding: (none given)
Description
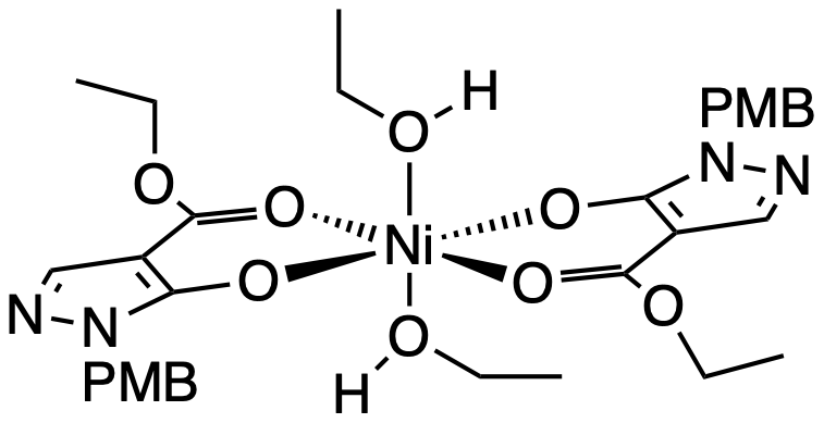
IR data for Bis(ethanol) bis((4-(ethoxycarbonyl)-1-(4-methoxybenzyl)-1H-pyrazol-5-yl)oxy)nickel (57)
Files
| Filename | Size | Type | Description |
|---|---|---|---|
| TM-VI-202_2021-12-05T19-12-49.pdf | 59KB | application/pdf | IR Spectrum as PDF |
| 57.png | 66KB | image/png | Image representation |
| 57.cdxml | 19KB | chemical/x-cdxml | Chemdraw connection table |
| 57.mol | 5KB | chemical/x-mdl-molfile | MDL Molfile |
| 57.cdxml | 19KB | chemical/x-cdxml | Chemdraw connection table v2 |
| 57.png | 41KB | image/png | Image representation v2 |
| 57.mol | 3KB | chemical/x-mdl-molfile | MDL Molfile v2 |
Member of collection / collaboration
| DOI | Description |
|---|---|
| 10.14469/hpc/11403 | Compound 57: Bis((4-(ethoxycarbonyl)-1-(4-methoxybenzyl)-1H-pyrazol-5-yl)oxy)nickel |
Subject Keywords
| Keyword | Value |
|---|---|
| IFD.IR | IR Spectrum |
| inchi | InChI=1S/2C14H16N2O4.2C2H6O.Ni/c2*1-3-20-14(18)12-8-15-16(13(12)17)9-10-4-6-11(19-2)7-5-10;2*1-2-3;/h2*4-8,17H,3,9H2,1-2H3;2*3H,2H2,1H3;/q;;;;+2/p-2 |
| inchikey | ILIGNAPTNFKKQJ-UHFFFAOYSA-L |
| SMILES | [H]O(CC)[Ni]12(OC3=C(C(OCC)=O2)C=NN3CC4=CC=C(OC)C=C4)(O([H])CC)O=C(OCC)C(C=N5)=C(O1)N5CC6=CC=C(OC)C=C6 |