This service is now deprecated. It is strongly suggested that new data deposits are made in the successor service Helix.

IR Data for Compound 60

DOI: 10.14469/hpc/11507 Metadata

Created: 2022-10-24 17:36

Last modified: 2024-05-28 17:00

Author: Henry Rzepa

License: Creative Commons: Public Domain Dedication 1.0

Funding: (none given)

Description

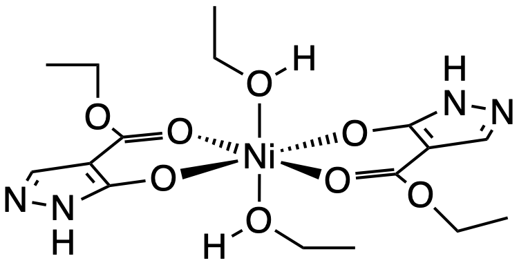
IR Data for Bis(ethanol) bis((4-(ethoxycarbonyl)-1H-pyrazol-5-yl)oxy)nickel (60)

Files

FilenameSizeTypeDescription
60.png 55KB image/png Image representation
TM-VI-205_2021-12-20T14-07-11.pdf 59KB application/pdf IR Spectrum as PDF
60.cdxml 14KB chemical/x-cdxml Chemdraw connection table
60.mol 3KB chemical/x-mdl-molfile MDL Molfile
60.png 37KB image/png Image representation v2

Member of collection / collaboration

DOIDescription
10.14469/hpc/11405 Compound 60: Bis(ethanol) bis((4-(ethoxycarbonyl)-1H-pyrazol-5-yl)oxy)nickel

Subject Keywords

KeywordValue
IFD.IR IR Spectrum
inchi InChI=1S/2C6H8N2O3.2C2H6O.Ni/c2*1-2-11-6(10)4-3-7-8-5(4)9;2*1-2-3;/h2*3H,2H2,1H3,(H2,7,8,9);2*3H,2H2,1H3;/q;;;;+2/p-2
inchikey LDALTPWCVQIZHM-UHFFFAOYSA-L
SMILES [H]O(CC)[Ni]12(OC3=C(C(OCC)=O2)C=NN3)(O([H])CC)O=C(OCC)C4=C(O1)NN=C4

Edit