IR Data for Compound 70.
DOI: 10.14469/hpc/11506 Metadata
Created: 2022-10-24 17:31
Last modified: 2024-05-28 16:00
License: Creative Commons: Public Domain Dedication 1.0
Funding: (none given)
Description
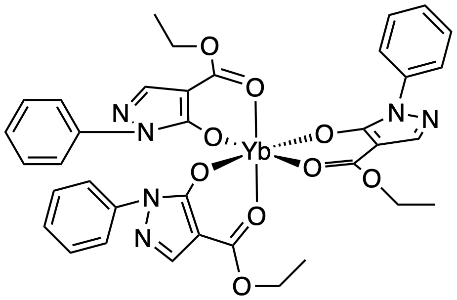
IR Data for Tris((4-(ethoxycarbonyl)-1-phenyl-1H-pyrazol-5-yl)oxy)ytterbium (70)
Files
| Filename | Size | Type | Description |
|---|---|---|---|
| TM-VI-209_2021-12-13T15-09-54.pdf | 60KB | application/pdf | IR Spectrum as PDF |
| 70.png | 86KB | image/png | Image representation |
| 70.cdxml | 20KB | chemical/x-cdxml | Chemdraw connection table |
| 70.mol | 7KB | chemical/x-mdl-molfile | MDL Molfile |
| 70.cdxml | 20KB | chemical/x-cdxml | Chemdraw connection table, V2 |
| 70.cdxml | 19KB | chemical/x-cdxml | Chemdraw connection table, V3 |
| 70.png | 73KB | image/png | Image representation v2 |
| 70.mol | 3KB | chemical/x-mdl-molfile | MDL Molfile v2 |
Member of collection / collaboration
| DOI | Description |
|---|---|
| 10.14469/hpc/11410 | Compound 70: Tris((4-(ethoxycarbonyl)-1-phenyl-1H-pyrazol-5-yl)oxy)ytterbium |
Subject Keywords
| Keyword | Value |
|---|---|
| IFD.IR | IR Spectrum |
| inchi | InChI=1S/3C12H12N2O3.Yb/c3*1-2-17-12(16)10-8-13-14(11(10)15)9-6-4-3-5-7-9;/h3*3-8,15H,2H2,1H3;/q;;;+3/p-3 |
| inchikey | WIKTUSIXAIMFMK-UHFFFAOYSA-K |
| SMILES | CCOC(C1=C(O2)N(C3=CC=CC=C3)N=C1)=O[Yb]452(OC6=C(C(OCC)=O5)C=NN6C7=CC=CC=C7)OC8=C(C(OCC)=O4)C=NN8C9=CC=CC=C9 |