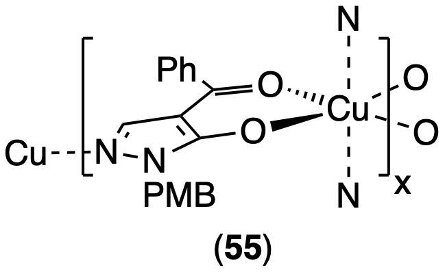
IR Data for Compound 55
DOI: 10.14469/hpc/11497 Metadata
Created: 2022-10-24 15:20
Last modified: 2024-05-28 16:00
License: Creative Commons: Public Domain Dedication 1.0
Funding: (none given)
Description
IR data for Bis(ethanol) bis((4-benzoyl-1-(4-methoxybenzyl)-1H-pyrazol-5-yl)oxy)copper (55)
Files
| Filename | Size | Type | Description |
|---|---|---|---|
| TM-VI-196_2021-12-05T18-31-20.pdf | 62KB | application/pdf | IR spectrum as PDF |
| Cu-Bz.png | 58KB | image/png | Image structural representation, V1 |
| Cu-Bz.cdxml | 22KB | chemical/x-cdxml | Chemdraw connection table, V1 |
| 55.mol | 7KB | chemical/x-mdl-molfile | MDL Molfile, V1 |
| 55.cdxml | 14KB | chemical/x-cdxml | Chemdraw connection table, V2 |
| 55.mol | 3KB | chemical/x-mdl-molfile | MDL Molfile, V2 |
| 55.png | 30KB | image/png | Image structural representation, V2 |
| 55.cdxml | 13KB | chemical/x-cdxml | Chemdraw connection table, V3 |
| 55.png | 26KB | image/png | Image structural representation, V3 |
| 55.mol | 2KB | chemical/x-mdl-molfile | MDL Molfile, V3 |
Member of collection / collaboration
| DOI | Description |
|---|---|
| 10.14469/hpc/11402 | Compound 55: bis((4-benzoyl-1-(4-methoxybenzyl)-1H-pyrazol-5-yl)oxy)copper |
Subject Keywords
| Keyword | Value |
|---|---|
| IFD.IR | IR Spectrum |
| inchi | InChI not supported |
| inchikey | InChI not supported |
| SMILES | [N][Cu]1(OC2=C(C(C3=CC=CC=C3)=O1)C=N([Cu])N2CC4=CC=C(OC)C=C4)([O])([O])[N] |