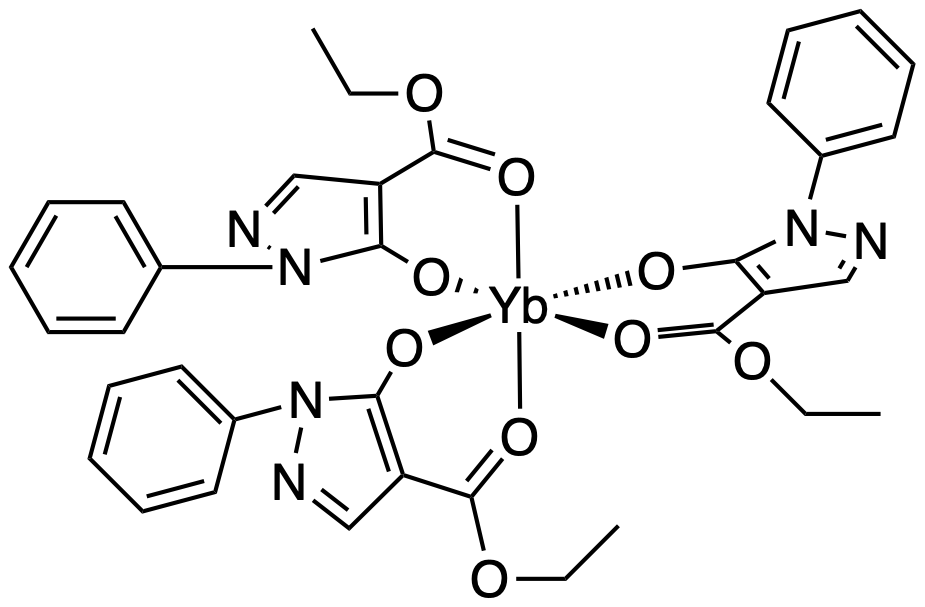
Primary crystal structure data for Compound 70. Tris((4-(ethoxycarbonyl)-1-phenyl-1H-pyrazol-5-yl)oxy)ytterbium
DOI: 10.14469/hpc/11437 Metadata
Created: 2022-10-14 07:18
Last modified: 2024-06-25 09:40
License: Creative Commons: Public Domain Dedication 1.0
Funding: (none given)
Description
Primary crystal structure data for Tris((4-(ethoxycarbonyl)-1-phenyl-1H-pyrazol-5-yl)oxy)ytterbium (70)
Files
| Filename | Size | Type | Description |
|---|---|---|---|
| AB2205.cif | 907KB | chemical/x-cif | CIF processed data |
| AB2205.7z | 495MB | application/x-7z-compressed | g7z archive of primary crystal data |
| AB2205.tar.gz | 516MB | application/gzip | gzip archive of primary crystal data |
| 70.cdxml | 20KB | chemical/x-cdxml | Chemdraw connection table |
| 70.cdxml | 19KB | chemical/x-cdxml | Chemdraw connection table, V2 |
| 70.png | 73KB | image/png | Image representation |
Member of collection / collaboration
| DOI | Description |
|---|---|
| 10.14469/hpc/11410 | Compound 70: Tris((4-(ethoxycarbonyl)-1-phenyl-1H-pyrazol-5-yl)oxy)ytterbium |
Associated DOIs
| Current dataset ... | DOI | Description |
|---|---|---|
| References | 10.5517/ccdc.csd.cc2d6qx8 | CSD Entry: VINZOL |
| isReferencedBy | 10.5517/ccdc.csd.cc2d6qx8 | CSD Entry: VINZOL |
Subject Keywords
| Keyword | Value |
|---|---|
| IFD.XRAY | Crystal structure |
| inchi | InChI=1S/3C12H12N2O3.Yb/c3*1-2-17-12(16)10-8-13-14(11(10)15)9-6-4-3-5-7-9;/h3*3-8,15H,2H2,1H3;/q;;;+3/p-3 |
| inchikey | WIKTUSIXAIMFMK-UHFFFAOYSA-K |
| SMILES | CCOC(C1=C(O2)N(C3=CC=CC=C3)N=C1)=O[Yb]452(OC6=C(C(OCC)=O5)C=NN6C7=CC=CC=C7)OC8=C(C(OCC)=O4)C=NN8C9=CC=CC=C9 |