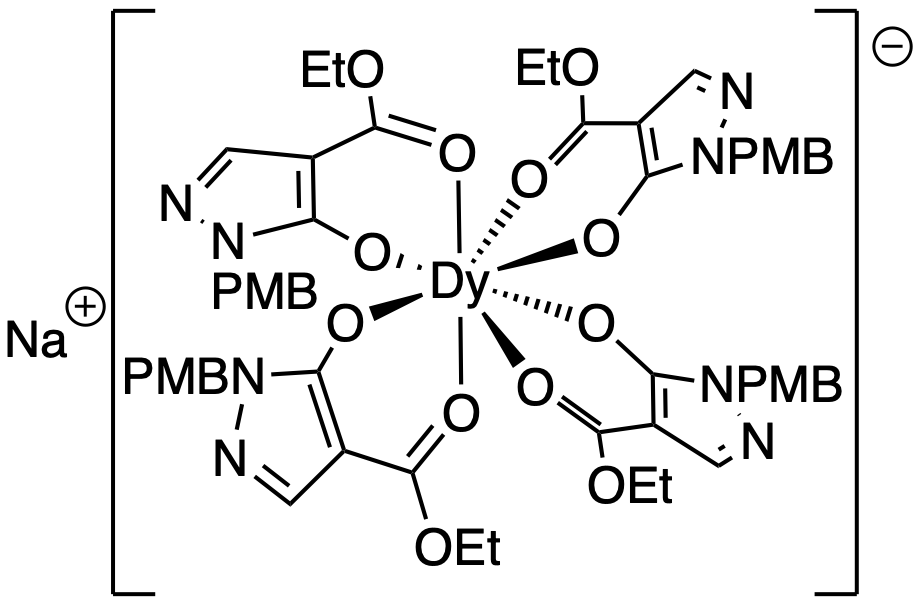
Primary crystal structure data for Compound 65. Sodium(I) tetrakis((4-(ethoxycarbonyl)-1-(4-methoxybenzyl)-1H-pyrazol-5-yl)oxy)dysprosium
DOI: 10.14469/hpc/11435 Metadata
Created: 2022-10-14 07:11
Last modified: 2024-06-25 09:37
License: Creative Commons: Public Domain Dedication 1.0
Funding: (none given)
Description
Primary crystal structure data for Sodium(I) tetrakis((4-(ethoxycarbonyl)-1-(4-methoxybenzyl)-1H-pyrazol-5-yl)oxy)dysprosium (65)
Files
| Filename | Size | Type | Description |
|---|---|---|---|
| AB2222.cif | 288KB | chemical/x-cif | CIF processed data |
| AB2222.7z | 114MB | application/x-7z-compressed | g7z archive of primary crystal data |
| AB2222.tar.gz | 123MB | application/gzip | gzip archive of primary crystal data |
| 65.cdxml | 29KB | chemical/x-cdxml | Chemdraw connection table |
| 65.cdxml | 29KB | chemical/x-cdxml | Chemdraw connection table, V3 |
| 65.png | 79KB | image/png | Image representation |
Member of collection / collaboration
| DOI | Description |
|---|---|
| 10.14469/hpc/11408 | Compound 65: Sodium(I) tetrakis((4-(ethoxycarbonyl)-1-(4-methoxybenzyl)-1H-pyrazol-5-yl)oxy)dysprosium |
Associated DOIs
| Current dataset ... | DOI | Description |
|---|---|---|
| References | 10.5517/ccdc.csd.cc2d6qv6 | CSD Entry: VIPPET |
| isReferencedBy | 10.5517/ccdc.csd.cc2d6qv6 | CSD Entry: VIPPET |
Subject Keywords
| Keyword | Value |
|---|---|
| IFD.XRAY | Crystal structure |
| inchi | InChI=1S/4C14H16N2O4.Dy.Na/c4*1-3-20-14(18)12-8-15-16(13(12)17)9-10-4-6-11(19-2)7-5-10;;/h4*4-8,17H,3,9H2,1-2H3;;/q;;;;+3;+1/p-4 |
| inchikey | XGOXETZJMNRHHH-UHFFFAOYSA-J |
| SMILES | COC(C=C1)=CC=C1CN2N=CC(C(OCC)=O3)=C2O[Dy-]3456(O=C(OCC)C(C=N7)=C(O5)N7CC8=CC=C(OC)C=C8)(O=C(OCC)C(C=N9)=C(O6)N9CC%10=CC=C(OC)C=C%10)O=C(OCC)C(C=N%11)=C(O4)N%11CC%12=CC=C(OC)C=C%12.[Na+] |