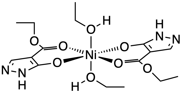
Primary crystal structure data for Compound 60. Bis(ethanol) bis((4-(ethoxycarbonyl)-1H-pyrazol-5-yl)oxy)nickel
DOI: 10.14469/hpc/11428 Metadata
Created: 2022-10-13 13:58
Last modified: 2024-06-25 09:34
License: Creative Commons: Public Domain Dedication 1.0
Funding: (none given)
Description
Primary crystal structure data for Bis(ethanol) bis((4-(ethoxycarbonyl)-1H-pyrazol-5-yl)oxy)nickel (60)
Files
| Filename | Size | Type | Description |
|---|---|---|---|
| AB2241.cif | 281KB | chemical/x-cif | CIF processed data |
| AB2241.7z | 453MB | application/x-7z-compressed | g7z archive of primary crystal data |
| AB2241.tar.gz | 467MB | application/gzip | gzip archive of primary crystal data |
| 60.cdxml | 14KB | chemical/x-cdxml | Chemdraw connection table |
| 60.png | 37KB | image/png | Image representation |
Member of collection / collaboration
| DOI | Description |
|---|---|
| 10.14469/hpc/11405 | Compound 60: Bis(ethanol) bis((4-(ethoxycarbonyl)-1H-pyrazol-5-yl)oxy)nickel |
Associated DOIs
| Current dataset ... | DOI | Description |
|---|---|---|
| References | 10.5517/ccdc.csd.cc2d6qr3 | CSD Entry: VIPNOB |
| isReferencedBy | 10.5517/ccdc.csd.cc2d6qr3 | CSD Entry: VIPNOB |
Subject Keywords
| Keyword | Value |
|---|---|
| IFD.XRAY | Crystal structure |
| inchi | InChI=1S/C6H8N2O3.C6H7N2O3.C5H5N.C3H3N.C2H2.Ni.H/c2*1-2-11-6(10)4-3-7-8-5(4)9;1-2-4-6-5-3-1;1-3-4-2;1-2;;/h3H,2H2,1H3,(H2,7,8,9);2-3H,1H3,(H2,7,8,9);1-5H;1-3H;1-2H;;/q4*-1;;+6;/p-2 |
| inchikey | LDALTPWCVQIZHM-UHFFFAOYSA-L |