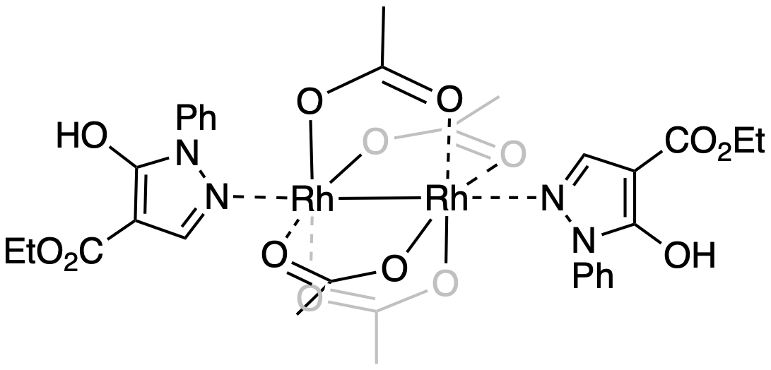
Crystal structure data for Compound 40. Bis(ethyl 5-hydroxy-1-phenyl-1H-pyrazole-4-carboxylate)tetrakis(acetato)dirhodium
DOI: 10.14469/hpc/11416 Metadata
Created: 2022-10-13 08:15
Last modified: 2024-06-25 09:23
License: Creative Commons: Public Domain Dedication 1.0
Funding: (none given)
Description
Primary crystal structure data for Bis(ethyl 5-hydroxy-1-phenyl-1H-pyrazole-4-carboxylate)tetrakis(acetato)dirhodium (40)
Files
| Filename | Size | Type | Description |
|---|---|---|---|
| AB2130.cif | 359KB | chemical/x-cif | CIF processed data |
| AB2130.7z.001 | 900MB | application/octet-stream | Part 1 of g7z archive of primary crystal data |
| AB2130.7z.002 | 597MB | application/octet-stream | Part 2 of g7z archive of primary crystal data |
| AB2130.zip.001 | 900MB | application/octet-stream | Part 1 of zip archive of primary crystal data |
| AB2130.zip.002 | 615MB | application/octet-stream | Part 2 of zip archive of primary crystal data |
| 40.cdxml | 19KB | chemical/x-cdxml | Chemdraw connection table |
| 40.png | 62KB | image/png | Image representation |
Member of collection / collaboration
| DOI | Description |
|---|---|
| 10.14469/hpc/11395 | Compound 40: Bis(ethyl 5-hydroxy-1-phenyl-1H-pyrazole-4-carboxylate)tetrakis(acetato)dirhodium |
Associated DOIs
| Current dataset ... | DOI | Description |
|---|---|---|
| References | 10.5517/ccdc.csd.cc2d6q9n | CSD Entry: VIPLIT |
| isReferencedBy | 10.5517/ccdc.csd.cc2d6q9n | CSD Entry: VIPLIT |
Subject Keywords
| Keyword | Value |
|---|---|
| IFD.XRAY | Crystal structure |
| inchi | InChI=1S/2C12H12N2O3.4C2H4O2.2Rh/c2*1-2-17-12(16)10-8-13-14(11(10)15)9-6-4-3-5-7-9;4*1-2(3)4;;/h2*3-8,15H,2H2,1H3;4*1H3,(H,3,4);;/q;;;;;;2*+2/p-4 |
| inchikey | WGBLMKJHPCVTIH-UHFFFAOYSA-J |