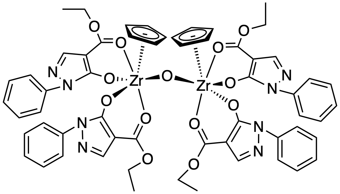
Primary crystal structure data for Compound 38. (m-O)-Di-[cyclopentadienyl-bis((4-(ethoxycarbonyl)-1-phenyl-1H-pyrazol-5-yl)oxy)zirconium]
DOI: 10.14469/hpc/11392 Metadata
Created: 2022-10-12 09:24
Last modified: 2024-06-27 18:00
License: Creative Commons: Public Domain Dedication 1.0
Funding: (none given)
Description
Primary crystal structure data for (m-O)-Di-[cyclopentadienyl-bis((4-(ethoxycarbonyl)-1-phenyl-1H-pyrazol-5-yl)oxy)zirconium] (38)
Files
| Filename | Size | Type | Description |
|---|---|---|---|
| AB2157.cif | 586KB | chemical/x-cif | CIF processed data |
| AB2157.7z | 262MB | application/x-7z-compressed | g7z archive of primary crystal data |
| AB2157.tar.gz | 273MB | application/gzip | gzip archive of primary crystal data |
| 38.cdxml | 23KB | chemical/x-cdxml | Chemdraw connection table |
| 38.cdxml | 24KB | chemical/x-cdxml | Chemdraw connection table V2 |
| 38.png | 113KB | image/png | Image structure representation |
Member of collection / collaboration
| DOI | Description |
|---|---|
| 10.14469/hpc/11375 | Compound 38: (m-O)-Di-[cyclopentadienyl-bis((4-(ethoxycarbonyl)-1-phenyl-1H-pyrazol-5-yl)oxy)zirconium] |
Associated DOIs
| Current dataset ... | DOI | Description |
|---|---|---|
| isReferencedBy | 10.5517/ccdc.csd.cc2d6q6k | CSD Entry: VIPKUE |
| References | 10.5517/ccdc.csd.cc2d6q6k | CSD Entry: VIPKUE |
Subject Keywords
| Keyword | Value |
|---|---|
| IFD.XRAY | Crystal structure |
| inchi | InChI=1S/4C12H12N2O3.2C5H10.2CH3.O.2Zr/c4*1-2-17-12(16)10-8-13-14(11(10)15)9-6-4-3-5-7-9;2*1-2-4-5-3-1;;;;;/h4*3-8,15H,2H2,1H3;2*1-5H2;2*1H3;;;/q;;;;;;;;;2*+2/p-4 |
| inchikey | BMCOBKREHKLUDL-UHFFFAOYSA-J |