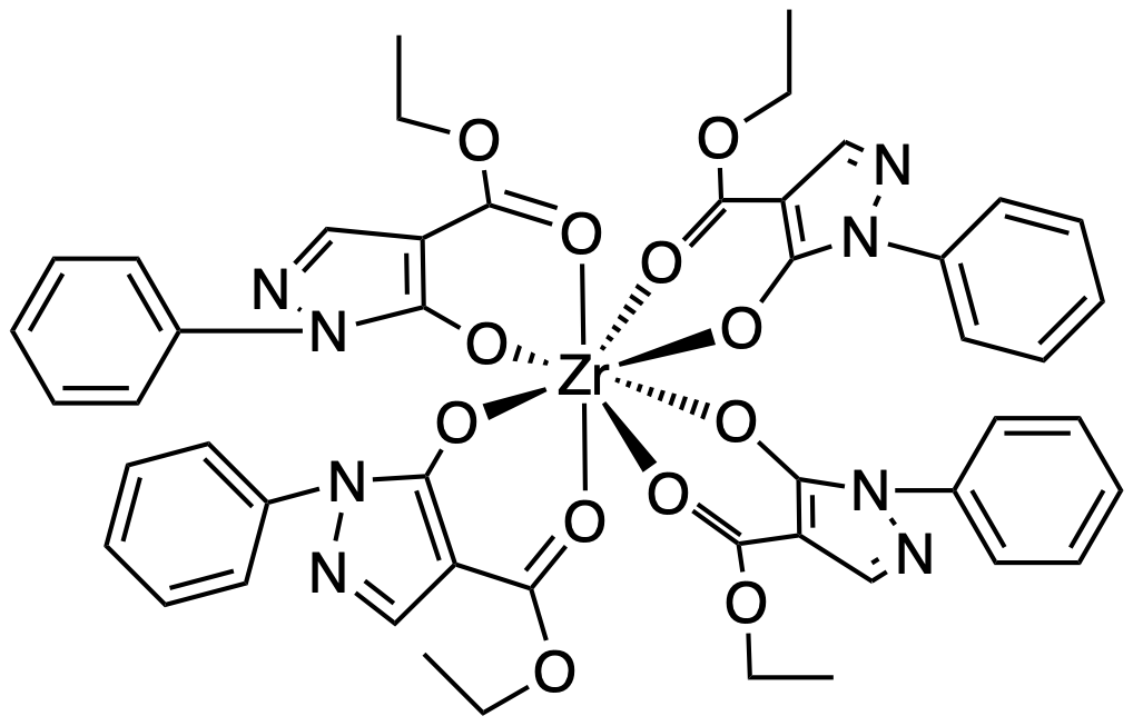
Primary crystal structure data for Compound 34. Tetrakis((4-(ethoxycarbonyl)-1-phenyl-1H-pyrazol-5-yl)oxy)zirconium
DOI: 10.14469/hpc/11390 Metadata
Created: 2022-10-12 09:08
Last modified: 2024-06-25 09:20
License: Creative Commons: Public Domain Dedication 1.0
Funding: (none given)
Description
Primary crystal structure data for Tetrakis((4-(ethoxycarbonyl)-1-phenyl-1H-pyrazol-5-yl)oxy)zirconium (34)
Files
| Filename | Size | Type | Description |
|---|---|---|---|
| AB2124.cif | 332KB | chemical/x-cif | CIF processed data |
| AB2124.7z | 184MB | application/x-7z-compressed | g7z archive of primary crystal data |
| AB2124.tar.gz | 199MB | application/gzip | gip archive of primary crystal data |
| 34.cdxml | 20KB | chemical/x-cdxml | Chemdraw connection table |
| 34.png | 94KB | image/png | Image representation |
Member of collection / collaboration
| DOI | Description |
|---|---|
| 10.14469/hpc/11373 | Compound 34: Tetrakis((4-(ethoxycarbonyl)-1-phenyl-1H-pyrazol-5-yl)oxy)zirconium |
Associated DOIs
| Current dataset ... | DOI | Description |
|---|---|---|
| References | 10.5517/ccdc.csd.cc2d6q4h | CSD Entry: VIPKIS |
| isReferencedBy | 10.5517/ccdc.csd.cc2d6q4h | CSD Entry: VIPKIS |
Subject Keywords
| Keyword | Value |
|---|---|
| IFD.XRAY | Crystal structure |
| inchi | InChI=1S/4C12H12N2O3.Zr/c4*1-2-17-12(16)10-8-13-14(11(10)15)9-6-4-3-5-7-9;/h4*3-8,15H,2H2,1H3;/q;;;;+4/p-4 |
| inchikey | UANOGLBNQFBPFY-UHFFFAOYSA-J |
| SMILES | CCOC(C1=C(O2)N(C3=CC=CC=C3)N=C1)=O[Zr]4256(O=C(OCC)C7=C(O5)N(C8=CC=CC=C8)N=C7)(O=C(OCC)C9=C(O6)N(C%10=CC=CC=C%10)N=C9)OC%11=C(C(OCC)=O4)C=NN%11C%12=CC=CC=C%12 |