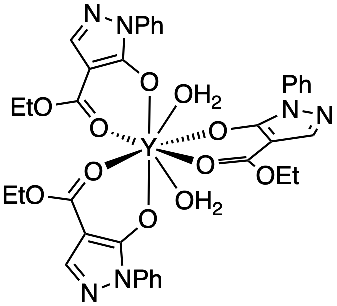
Crystal data for Compound 28. Tris((4-(ethoxycarbonyl)-1-phenyl-1H-pyrazol-5-yl)oxy)yttrium
DOI: 10.14469/hpc/11363 Metadata
Created: 2022-10-10 10:12
Last modified: 2024-06-25 09:18
License: Creative Commons: Public Domain Dedication 1.0
Funding: (none given)
Description
Primary crystal data for Tris((4-(ethoxycarbonyl)-1-phenyl-1H-pyrazol-5-yl)oxy)yttrium (28)
Files
| Filename | Size | Type | Description |
|---|---|---|---|
| AB2218.cif | 4MB | chemical/x-cif | CIF processed data |
| AB2218.7z.001 | 900MB | application/octet-stream | Part 1 of 7zip archive of primary crystal structure data |
| AB2218.7z.002 | 900MB | application/octet-stream | Part 2 of 7zip archive of primary crystal structure data |
| AB2218.7z.003 | 400MB | application/octet-stream | Part 3 of 7zip archive of primary crystal structure data |
| AB2218.zip.001 | 900MB | application/octet-stream | Part 1 of zip archive of primary crystal structure data |
| AB2218.zip.002 | 900MB | application/octet-stream | Part 2 of zip archive of primary crystal structure data |
| AB2218.zip.003 | 440MB | application/octet-stream | Part 3 of zip archive of primary crystal structure data |
| 28.cdxml | 24KB | chemical/x-cdxml | Chemdraw connection table |
| 28.cdxml | 22KB | chemical/x-cdxml | Chemdraw connection table v2 |
| 28.png | 59KB | image/png | Image representation |
Member of collection / collaboration
| DOI | Description |
|---|---|
| 10.14469/hpc/11362 | Compound 28: Tris((4-(ethoxycarbonyl)-1-phenyl-1H-pyrazol-5-yl)oxy)yttrium |
Associated DOIs
| Current dataset ... | DOI | Description |
|---|---|---|
| References | 10.5517/ccdc.csd.cc2d6q2f | CSD Entry: VIPKAK |
| isReferencedBy | 10.5517/ccdc.csd.cc2d6q2f | CSD Entry: VIPKAK |
Subject Keywords
| Keyword | Value |
|---|---|
| IFD.XRAY | Crystal structure |
| inchi | InChI=1S/3C12H12N2O3.2H2O.Y/c3*1-2-17-12(16)10-8-13-14(11(10)15)9-6-4-3-5-7-9;;;/h3*3-8,15H,2H2,1H3;2*1H2;/q;;;;;+3/p-3 |
| inchikey | RRXSKXZPUZQUFG-UHFFFAOYSA-K |
| SMILES | [OH2][Y]123(O=C(OCC)C(C=N4)=C(O2)N4C5=CC=CC=C5)(O=C(OCC)C(C=N6)=C(O3)N6C7=CC=CC=C7)([OH2])O=C(OCC)C(C=N8)=C(O1)N8C9=CC=CC=C9 |